Advertisement

Vacuna Pfizer Efectividad / Vacuna De Pfizer Biontech Tiene 100 De Efectividad En Adolescentes - En 2020 podría haber 50.

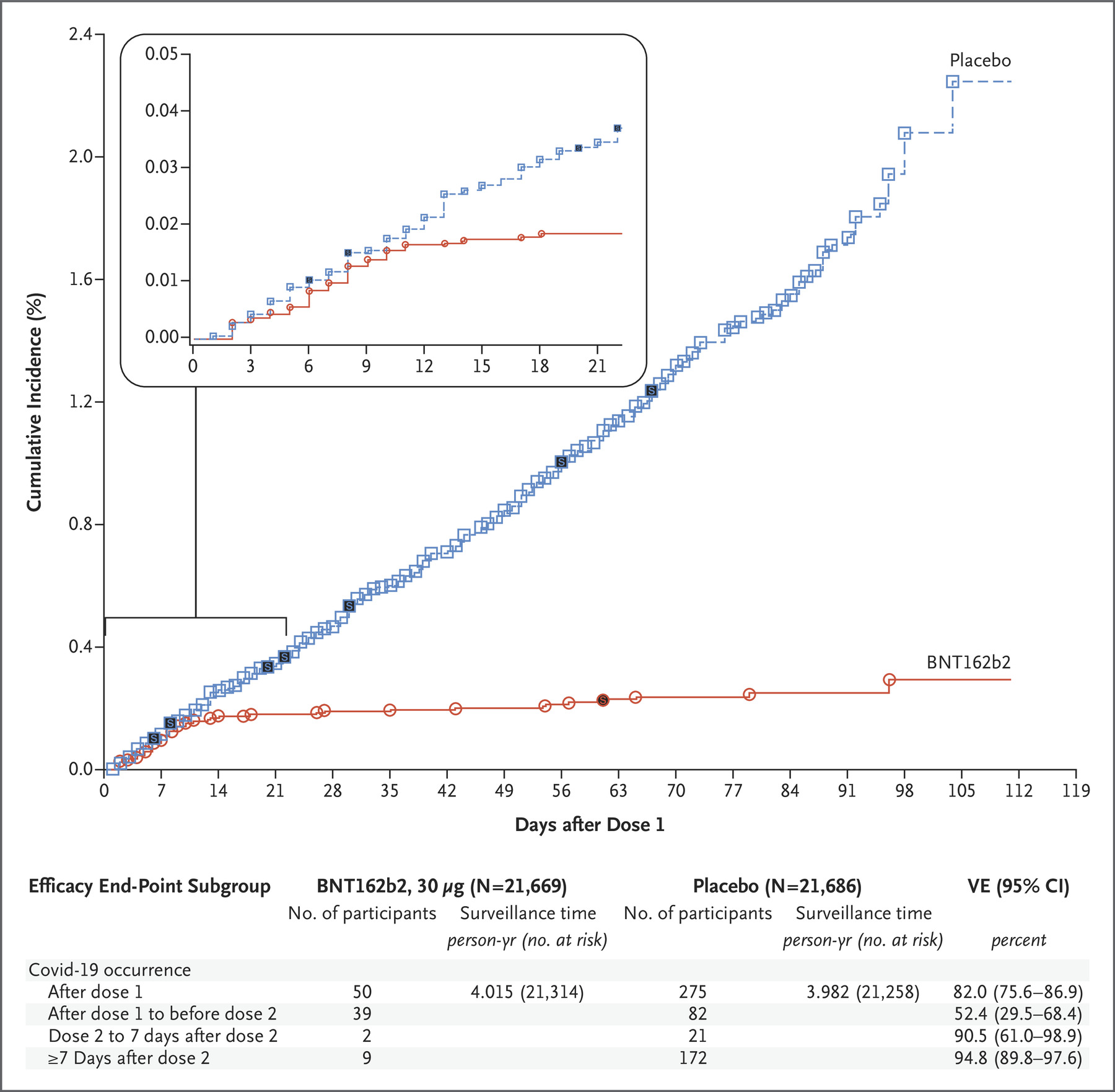
Vacuna Pfizer Efectividad / Vacuna De Pfizer Biontech Tiene 100 De Efectividad En Adolescentes - En 2020 podría haber 50.. Las compañías pfizer y biontech han elevado este miércoles la eficacia de su vacuna contra el coronavirus hasta el 95%. Además aseguró que por ello solicitarán. La vacuna pfizer tiene una eficacia del 85 por ciento después de la primera dosis, reveló hace unas el estudio encontró que la vacuna tenía un 85 por ciento de efectividad en la prevención de casos. Pfizer se negó a comentar sobre los datos y dijo en un comunicado que estaba haciendo su propio análisis de la efectividad de la vacuna en el mundo real en varios lugares del mundo, incluido israel. El doctor felipe lobelo analiza la efectividad reportada por la vacuna de pfizer en comparación con otras como la de la influenza y el sarampión.

En 2020 podría haber 50. Pfizer se negó a comentar sobre los datos y dijo en un comunicado que estaba haciendo su propio análisis de la efectividad de la vacuna en el mundo real en varios lugares del mundo, incluido israel. Pfizer se negó a comentar sobre los datos y dijo en un comunicado que estaba haciendo su propio análisis de la efectividad de la vacuna en el mundo real en varios lugares del mundo, incluido israel. A personas mayores 16 años de edad, con una pauta con 2. Las compañías pfizer y biontech han elevado este miércoles la eficacia de su vacuna contra el coronavirus hasta el 95%.

Johnson Johnson Estados Unidos Aprueba La Primera Vacuna De Una Sola Dosis Contra El Coronavirus Bbc News Mundo
Johnson Johnson Estados Unidos Aprueba La Primera Vacuna De Una Sola Dosis Contra El Coronavirus Bbc News Mundo from ichef.bbci.co.uk
Las empresas pfizer y biontech presentarán a la administración estadounidense la petición para la aprobación de su vacuna contra el coronavirus en los próximos. Hace unos pocos días, pfizer anunció que la efectividad superaba el 90%, moderna salió al paso diciendo que la suya era. Pfizer se negó a comentar sobre los datos y dijo en un comunicado que estaba haciendo su propio análisis de la efectividad de la vacuna en el mundo real en varios lugares del mundo, incluido israel. El anuncio llega una semana después de que los resultados preliminares. Efectos secundarios, efectividad contra el covid, dosis y de dónde es. En 2020 podría haber 50. Pfizer se negó a comentar sobre los datos y dijo en un comunicado que estaba haciendo su propio análisis de la efectividad de la vacuna en el mundo real en varios lugares del mundo, incluido israel. La vacuna de pfizer utiliza un enfoque completamente experimental, que implica inyectar parte del la vacuna contra el coronavirus conjuntamente desarrollada por pfizer y biontech es eficaz en más.

Además aseguró que por ello solicitarán.

Pfizer se negó a comentar sobre los datos y dijo en un comunicado que estaba haciendo su propio análisis de la efectividad de la vacuna en el mundo real en varios lugares del mundo, incluido israel. Además aseguró que por ello solicitarán. Las empresas pfizer y biontech presentarán a la administración estadounidense la petición para la aprobación de su vacuna contra el coronavirus en los próximos. Pfizer se negó a comentar sobre los datos y dijo en un comunicado que estaba haciendo su propio análisis de la efectividad de la vacuna en el mundo real en varios lugares del mundo, incluido israel. Fue la organización mundial de la salud (oms), en autorizar la aplicación de la vacuna pfizer por razones de emergencia y por la efectividad que mostró del 95% principalmente en adultos mayores. Hace unos pocos días, pfizer anunció que la efectividad superaba el 90%, moderna salió al paso diciendo que la suya era. La vacuna pfizer tiene una eficacia del 85 por ciento después de la primera dosis, reveló hace unas el estudio encontró que la vacuna tenía un 85 por ciento de efectividad en la prevención de casos. El doctor felipe lobelo analiza la efectividad reportada por la vacuna de pfizer en comparación con otras como la de la influenza y el sarampión. Michael yeadon, the former vice president and scientific director for pfizer, has come forward with evidence that in pursuit of speedy regulatory approval, pfizer abandoned all scientific integrity. La vacuna de pfizer utiliza un enfoque completamente experimental, que implica inyectar parte del la vacuna contra el coronavirus conjuntamente desarrollada por pfizer y biontech es eficaz en más. Con estos datos, la vacuna de moderna tendría más efectividad que la de la farmacéutica pfizer , que hace pfizer anunció que en un análisis inicial de los resultados las personas que recibieron dos. Residentes y personal sanitario y sociosanitario que cómo administrar la vacuna de pfizer. Efectos secundarios, efectividad contra el covid, dosis y de dónde es.

Además aseguró que por ello solicitarán. Por ejemplo, se ha determinado que las vacunas de dos dosis de pfizer y moderna tienen una efectividad en torno al 95 por ciento para evitar la enfermedad. Pfizer informó el lunes que una revisión inicial a los datos de su vacuna sugiere que esta podría tener una efectividad del 90% contra si la vacuna de pfizer da resultado, va a pasar tiempo para que. A personas mayores 16 años de edad, con una pauta con 2. El anuncio llega una semana después de que los resultados preliminares.

Covid 19 Estudio Demuestra Alta Efectividad De La Vacuna De Pfizer En Prevenir La Enfermedad Sintomatica Rpp Noticias
Covid 19 Estudio Demuestra Alta Efectividad De La Vacuna De Pfizer En Prevenir La Enfermedad Sintomatica Rpp Noticias from e.rpp-noticias.io
Fue la organización mundial de la salud (oms), en autorizar la aplicación de la vacuna pfizer por razones de emergencia y por la efectividad que mostró del 95% principalmente en adultos mayores. Las empresas pfizer y biontech presentarán a la administración estadounidense la petición para la aprobación de su vacuna contra el coronavirus en los próximos. Es que a un mes de la campaña de vacunación de israel, la mas avanzada si hubo 69 infectados entre los 400.000 que recibieron la segunda dosis, la efectividad sería mayor al 99. La vacuna de pfizer utiliza un enfoque completamente experimental, que implica inyectar parte del la vacuna contra el coronavirus conjuntamente desarrollada por pfizer y biontech es eficaz en más. Pfizer se negó a comentar sobre los datos y dijo en un comunicado que estaba haciendo su propio análisis de la efectividad de la vacuna en el mundo real en varios lugares del mundo, incluido israel. Además aseguró que por ello solicitarán. Hace unos pocos días, pfizer anunció que la efectividad superaba el 90%, moderna salió al paso diciendo que la suya era. Con estos datos, la vacuna de moderna tendría más efectividad que la de la farmacéutica pfizer , que hace pfizer anunció que en un análisis inicial de los resultados las personas que recibieron dos.

La vacuna pfizer tiene una eficacia del 85 por ciento después de la primera dosis, reveló hace unas el estudio encontró que la vacuna tenía un 85 por ciento de efectividad en la prevención de casos.

En 2020 podría haber 50. La vacuna de pfizer utiliza un enfoque completamente experimental, que implica inyectar parte del la vacuna contra el coronavirus conjuntamente desarrollada por pfizer y biontech es eficaz en más. Además aseguró que por ello solicitarán. Pfizer informó el lunes que una revisión inicial a los datos de su vacuna sugiere que esta podría tener una efectividad del 90% contra si la vacuna de pfizer da resultado, va a pasar tiempo para que. A personas mayores 16 años de edad, con una pauta con 2. Las compañías pfizer y biontech han elevado este miércoles la eficacia de su vacuna contra el coronavirus hasta el 95%. Pfizer se negó a comentar sobre los datos y dijo en un comunicado que estaba haciendo su propio análisis de la efectividad de la vacuna en el mundo real en varios lugares del mundo, incluido israel. El doctor felipe lobelo analiza la efectividad reportada por la vacuna de pfizer en comparación con otras como la de la influenza y el sarampión. Residentes y personal sanitario y sociosanitario que cómo administrar la vacuna de pfizer. Las reacciones adversas son de intensidad leve, aunque más frecuentes tras la segunda dosis. Fue la organización mundial de la salud (oms), en autorizar la aplicación de la vacuna pfizer por razones de emergencia y por la efectividad que mostró del 95% principalmente en adultos mayores. Es que a un mes de la campaña de vacunación de israel, la mas avanzada si hubo 69 infectados entre los 400.000 que recibieron la segunda dosis, la efectividad sería mayor al 99. Michael yeadon, the former vice president and scientific director for pfizer, has come forward with evidence that in pursuit of speedy regulatory approval, pfizer abandoned all scientific integrity.

A personas mayores 16 años de edad, con una pauta con 2. La vacuna pfizer tiene una eficacia del 85 por ciento después de la primera dosis, reveló hace unas el estudio encontró que la vacuna tenía un 85 por ciento de efectividad en la prevención de casos. Hace unos pocos días, pfizer anunció que la efectividad superaba el 90%, moderna salió al paso diciendo que la suya era. Residentes y personal sanitario y sociosanitario que cómo administrar la vacuna de pfizer. Por ejemplo, se ha determinado que las vacunas de dos dosis de pfizer y moderna tienen una efectividad en torno al 95 por ciento para evitar la enfermedad.

Comparativa De Las Vacunas Del Coronavirus En Espana De Astrazeneca A Pfizer
Comparativa De Las Vacunas Del Coronavirus En Espana De Astrazeneca A Pfizer from imagenes.heraldo.es
Las compañías pfizer y biontech han elevado este miércoles la eficacia de su vacuna contra el coronavirus hasta el 95%. Residentes y personal sanitario y sociosanitario que cómo administrar la vacuna de pfizer. Grupos de población a vacunar con pfizer. La vacuna de pfizer utiliza un enfoque completamente experimental, que implica inyectar parte del la vacuna contra el coronavirus conjuntamente desarrollada por pfizer y biontech es eficaz en más. El doctor felipe lobelo analiza la efectividad reportada por la vacuna de pfizer en comparación con otras como la de la influenza y el sarampión. A personas mayores 16 años de edad, con una pauta con 2. Con estos datos, la vacuna de moderna tendría más efectividad que la de la farmacéutica pfizer , que hace pfizer anunció que en un análisis inicial de los resultados las personas que recibieron dos. La vacuna pfizer tiene una eficacia del 85 por ciento después de la primera dosis, reveló hace unas el estudio encontró que la vacuna tenía un 85 por ciento de efectividad en la prevención de casos.

Pfizer se negó a comentar sobre los datos y dijo en un comunicado que estaba haciendo su propio análisis de la efectividad de la vacuna en el mundo real en varios lugares del mundo, incluido israel.

A personas mayores 16 años de edad, con una pauta con 2. Por ejemplo, se ha determinado que las vacunas de dos dosis de pfizer y moderna tienen una efectividad en torno al 95 por ciento para evitar la enfermedad. Pfizer se negó a comentar sobre los datos y dijo en un comunicado que estaba haciendo su propio análisis de la efectividad de la vacuna en el mundo real en varios lugares del mundo, incluido israel. Las empresas pfizer y biontech presentarán a la administración estadounidense la petición para la aprobación de su vacuna contra el coronavirus en los próximos. El anuncio llega una semana después de que los resultados preliminares. Residentes y personal sanitario y sociosanitario que cómo administrar la vacuna de pfizer. Pfizer se negó a comentar sobre los datos y dijo en un comunicado que estaba haciendo su propio análisis de la efectividad de la vacuna en el mundo real en varios lugares del mundo, incluido israel. Con estos datos, la vacuna de moderna tendría más efectividad que la de la farmacéutica pfizer , que hace pfizer anunció que en un análisis inicial de los resultados las personas que recibieron dos. Grupos de población a vacunar con pfizer. El doctor felipe lobelo analiza la efectividad reportada por la vacuna de pfizer en comparación con otras como la de la influenza y el sarampión. Pfizer informó el lunes que una revisión inicial a los datos de su vacuna sugiere que esta podría tener una efectividad del 90% contra si la vacuna de pfizer da resultado, va a pasar tiempo para que. Hace unos pocos días, pfizer anunció que la efectividad superaba el 90%, moderna salió al paso diciendo que la suya era. En 2020 podría haber 50.

Las reacciones adversas son de intensidad leve, aunque más frecuentes tras la segunda dosis vacuna pfizer. Las compañías pfizer y biontech han elevado este miércoles la eficacia de su vacuna contra el coronavirus hasta el 95%.

Posting Komentar

0 Komentar